Domain Of A Function Is

In plain english this definition means.
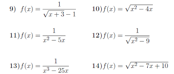
Domain of a function is. All the values that go into a function. The following table gives examples of domain restrictions for several different rational functions. X y and is alternatively denoted as. The function is a radical function with an even index such as a square root and the radicand can be negative for some value or values of x.
The domain of a function is the set of all possible values which make the function defined. The set of possible y values is called the range. It is the set x in the notation f. Recall that the domain of a function is the set of possible input values x values of the function.
Let us use the following examples to illustrate how to find the largest possible domain of functions. Learn how to find the domain of rational functions. Domain and range of a function definitions of domain and range domain. When finding the domain remember.
In other words it is the set of x values that you can put into any given equation. In the example above the domain of f left x right is set a. Illustrated definition of domain of a function. In mathematics the domain or set of departure of a function is the set into which all of the input of the function is constrained to fall.
The domain of a function is the complete set of possible values of the independent variable. By using this website you agree to our cookie policy. This set of values exclude any value which makes the function undefined. Free functions domain calculator find functions domain step by step this website uses cookies to ensure you get the best experience.
If you want to know how to find the domain of a function in a variety of situations just follow these steps. The domain of a function is the set of numbers that can go into a given function. Since a function is defined on its entire domain its domain coincides with its domain of definition. Range of a function this is the set of output values generated by the function based on the input values from the domain set.
Domain of a function this is the set of input values for the function. However this coincidence is no longer true for a partial function. Latex f left x right sqrt 7 x latex is a radical function. The domain is the set of all possible x values which will make the function work and will output real y values.
In the example above the range of f left x right is set b.